• 1. "版本分类"
  • 2. “对局”

术语定义

1. "版本分类"

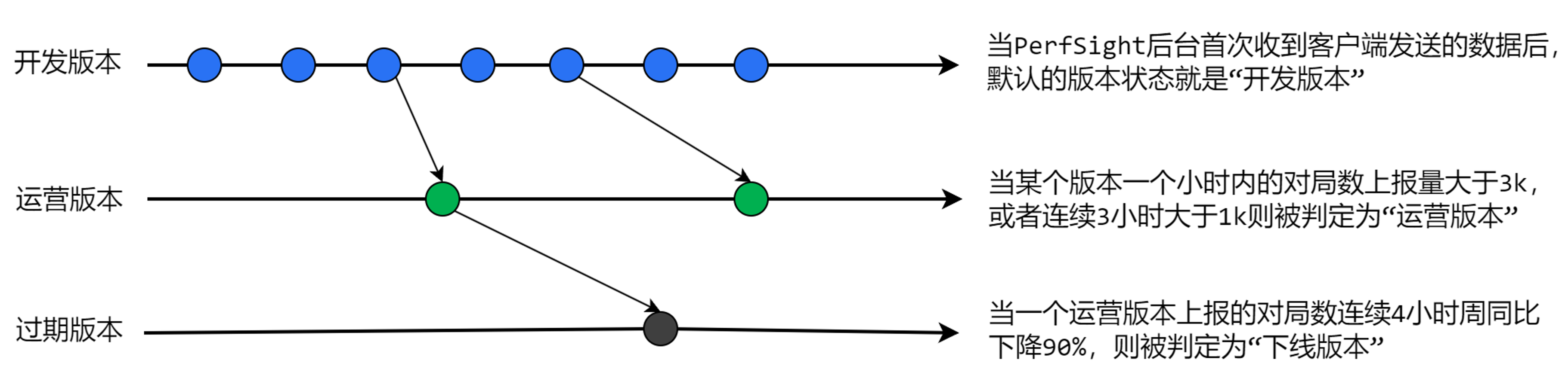
因为一款游戏通常有很多版本,为了方便查找,PerfSight对游戏的版本进行了分类。PerfSight 根据版本的游戏对局数量将版本分为 3 类:开发版本、运营版本、下线版本,版本类型的具体变化如下图所示。

terms_1

2. “对局”

“对局” 是从 MarkLevelLoad 开始到 MarkLevelFin 结束,当 MarkLevelFin 方法被调用时,数据被打包并上传,因此我们将其定义为 “对局”。

Last Updated: